聚碳酸酯(PC)是五大工程塑料之一,凭借其透明、高抗冲击、耐热等优异性能,应用领域非常广泛,包括电子电器、汽车工业、医疗健康、光学与航天、板材与建筑等。目前,全球市场规模稳步增长,而中国已成为全球最大的生产和消费国,市场格局正从“量的扩张”向“质的提升”转变。

PC应用
2025年全球聚碳酸酯市场规模大约在166.5亿美元至240.8亿美元之间。市场普遍预计未来几年将保持稳定增长,到2030年预计将达到316亿美元。预测期内的年均复合增长率(CAGR)在5.1%至5.7%之间。
中国是全球聚碳酸酯产业的中心,产能占全球近半壁江山(48%)。2024年,中国聚碳酸酯表观消费量达360万吨,预计2026年中国聚碳酸酯需求量将继续增长3.9%。

聚碳酸酯(PC)性能简介
PC的结构与性能
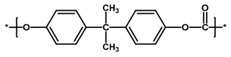
PC是一种热塑性工程塑料,最早在1950年被开发出来,由拜耳公司(Bayer)在市场上推出。根据PC分子结构的不同可以分为双酚A型聚碳酸酯、双酚S型聚碳酸酯和双酚F型聚碳酸酯。
其中双酚A型聚碳酸酯由双酚A和碳酸二苯酯通过聚合反应制得,其纯度较高,加工性能好,分子量相对较高,是应用最广泛的聚碳酸酯类型,其结构式如图所示,本文后续讨论都是以双酚A型聚碳酸酯展开。

双酚A型聚碳酸酯的分子结构示意图
PC的结构与性能之间存在密切联系:
(1)透明性:PC由双酚A和碳酸酯基团交替共聚而成,芳香环的引入增加了分子链的不规则性和刚性,使得分子链之间无法紧密排列,而形成长程有序的非结晶态。这一无定形非晶结构赋予了PC良好的透明性,使其可以广泛用于需要高透明材料的场景,如CD、光学镜片和汽车灯罩等,并成为玻璃的优质替代品。

透明PC粒子
(2)高抗冲击性:PC中含有的醚键赋予了分子链柔性,这使得PC在受到外力冲击时,分子链能够通过弯曲形变吸收能量。同时无定形结构使得PC结构均匀,能够更平均的分散应力,减少应力集中。这一特点使得PC具有良好的抗冲击性能,可以广泛应用于头盔、电子电器外壳和汽车保险杠等需要高抗冲材料的领域。

PC用于头盔视窗及外壳
(3)阻燃性:PC分子链中存在大量的芳香结构,这些芳香环在燃烧过程中会通过重排形成高度交联的不饱和碳杂环而成炭。同时PC在燃烧过程中会通过自身的酯交换反应产生大量的CO2和H2O,达到稀释可燃性气体和氧气浓度的目的,因此表现出一定的阻燃性能,可达到V-2等级。

(4)尺寸稳定性:由于芳香环的存在,PC分子链刚性较大,导致其玻璃化转变温度和熔点较高,这使得PC即使在外界条件变化(温度、湿度和外力)的情况下也能保持自身形状和尺寸不发生明显变化,从而可以应用于制备精密构件和仪器。
PC与不同工程塑料收缩率对比

虽然PC刚柔并济的分子结构使得其具有许多优异的性能,但是同时也存在一些缺点和局限性:
(1)阻燃性:PC的UL-94垂直燃烧等级为V-2,在燃烧过程产生带焰熔滴,LOI仅为25.0%。PC的阻燃性能无法满足特定应用场景的火安全要求,还需进一步提高阻燃性能。
(2)耐刮擦性:PC表面硬度较低,铅笔硬度2B,在使用过程易产生刮擦痕,影响制品透明度和美观性。在需要长期保持清晰视线或表面完整性的应用中,常需涂覆保护层来改善PC的耐刮擦性,因此提高PC的耐刮擦性也是一个急需解决的问题。
(3)加工性能:PC分子链较弱的运动能力使其熔体粘度较高,在熔融加工过程中有易产生熔接痕和气泡以及增加加工能耗等问题。
(4)缺口敏感性:由于PC分子链的运动能力弱,作用在缺口处的外力无法及时通过剪切形变传递,导致应力集中,从而使PC发生脆性断裂。宏观表现为:与无缺口冲击相比,缺口冲击强度大幅度下降。
PC热降解过程
为了详细研究双酚A型PC的燃烧机制,探究不同阻燃剂在其中的阻燃机理,研究人员对双酚A型聚碳酸酯的热降解机理进行了大量的研究和深入的分析。PC热稳定性高,在氮气气氛下,其T5%约为380oC,Tmax约为580oC。
利用热重-红外联用(TG-IR)、气相色谱质谱联用技术(GC-MS)和液相色谱质谱联用技术(LC-MS)研究PC在氮气/空气中的热降解行为。发现PC的主要降解途径遵循链断裂机理,主要热降解途径是异亚丙基的断裂、碳酸酯键的水解/醇解和重排。其链断裂顺序遵循图中所示PC的化学键键能。

PC中化学键的离解能(蓝色箭头标示)
最弱的键是异亚丙基中甲基碳原子和碳原子之间的单键(C-CH3),键能仅为251kJ/mol,其次是氧原子和羰基碳原子之间的单键(C-O),键能为330kJ/mol。因此异亚丙基的C-CH3键最容易断裂,其次是羰基的C-O键,但是由于碳酸酯键容易发生醇解和水解,链断裂顺序不会严格根据键能大小进行(相关研究表明在PC热降解初期就能检测到CO2的生成)。
通过PC热降解的实验分析得出其热降解的主要产物为CO2、H2O、CO、CH4、酚类、醚类和碳酸盐等。
PC的热降解过程十分复杂,涉及到多种化学反应同时进行,人们对于PC的热降解机理仍在进行不断的探索,目前比较受大众认可的热降解路径主要分为三种形式,如图所示。

PC的主要热降解路径
由于碳酸酯键(C-O)的水解或醇解更易发生,因此在PC热降解初期,C-O会先被破坏而产生大量CO2,被破坏的C-O发生重排(1),生成2-苯氧基苯甲酸。2-苯氧基苯甲酸不稳定,会迅速发生脱羧反应生成醚等产物,再次产生CO2。
同时由于C-O不断重排生成2-苯氧基苯甲酸,2-苯氧基苯甲酸又会与PC之间发生酯交换反应,排出大量的H2O,产生交联的酚类物质,这也是PC具有良好成炭性能的原因之一。
酯交换过程产生的H2O又会进一步促进C-O键的水解,再次生成大量的CO2和酚类产物。根据相关报导,PC在热降解过程中C-O还会发生另一种形式的Fries重排(2)。
经过Friesc重排后,PC主链上会产生大量的活性酚羟基,这些酚羟基可以充当成炭时的交联点位,这也是PC具有良好成炭性能的另一个原因。随着温度的升高,PC中的异亚丙基发生断裂(3),产生活性自由基、不饱和烷烃和CH4气体。
阻燃PC的理论路径
根据PC的热降解路径,对PC的燃烧特性做出以下总结,气相中:PC在燃烧过程中会产生大量CO2和H2O等不可燃气体,这使得PC自身在气相中就能发挥一定的阻燃作用;
凝聚相中:通过C-O键的两种重排模式,PC能够形成高度交联环化的炭层,使得其残炭量远高于烯烃类聚合物。
聚合物阻燃基本原理早在20世纪40年代便被系统性地提出,以此为基础,人们针对PC的特殊性提出了一些新的阻燃方法:
(1)促进重排:通过加速PC碳酸酯键的重排从而加快PC自成炭和CO2、H2O释放速率,使PC在短时间内形成更多残炭和不可燃气体。目前磺酸盐系和一些含有金属离子的阻燃剂就是通过这种方式提高PC的阻燃性能;
(2)促进成炭:通过引入酸源进一步促进PC热降解过程产生的活性点位(酚羟基)交联,提高炭层致密度,从而隔绝燃烧过程中的热氧交换。含有磷、硼或者硅元素的阻燃剂多为此种阻燃模式;
(3)自由基捕捉:阻燃剂的气相阻燃作用分为可燃性气体稀释和自由基捕捉两种形式,PC自身在燃烧过程中释放的CO2、H2O可以稀释可燃性气体,因此加入具有自由基捕捉作用的阻燃剂可以进一步从气相层面提高PC的阻燃性能。一些有机磷酸酯和卤系阻燃剂正是通过这种机制实现阻燃。
在实际阻燃过程中不仅仅是某种单一的阻燃机制在起作用,而是多种机制同步进行,协同阻燃。
PC中引入阻燃剂的方法
为提高聚合物的阻燃性能,向聚合物中引入阻燃剂是最简单有效的方式。PC是一种线性热塑性聚合物,可以通过熔融共混、反应共聚和表面处理等三种方式提高其阻燃性能。
熔融共混是在热塑性塑料中加入阻燃剂最简单有效的方式。熔融共混是一种将PC和阻燃剂或其他添加剂混合的过程,PC的熔点较高,加工窗口约为220oC-280oC,在高温下各组分能够在熔融状态下均匀混合。这一过程可以通过双螺杆挤出机、密炼机或其他混合设备来实现。
熔融共混不仅可以提高PC的阻燃性能,还可以通过配方设计来优化其力学性能、透明性和热稳定性等其他性能。在满足热稳定性的前提下采用此法的阻燃剂选择范围较广,可根据不同的需求选择不同的阻燃剂。
反应共聚是一种化学合成方法,包括对聚合物主链进行化学改性(例如,对预聚体进行改性)或对功能化单体进行接枝改性。在PC中,共聚法可以用来引入特定的阻燃单体或者阻燃元素,从而在聚合物过程中直接合成具有阻燃功能的PC共聚物,例如现已商业化的硅氧烷改性PC。这种方法要求阻燃剂具有能够与PC反应的活性基团,且成本高昂。
表面处理是一种通过表面涂层、化学改性或物理沉积等方式提高材料相关性能的方法统称。表面处理在提高PC的阻燃性、表面硬度、耐化学性和抗紫外老化性能等方面具有良好的效果。可以通过多功能涂层的构筑,赋予材料多种不同的性能,且可以最大限度保留PC自身的优势。