在工程师进行仿真(CAE)的工作中,经常会出现这样一幕:
打开仿真软件,准备给一个新产品做受力分析。软件弹出一个窗口,要求输入材料参数。拉伸模量、密度、强度……你从物性表上一一搬运。但当光标停在“泊松比(Poisson's Ratio)”这一栏时,你翻遍了PDF,甚至查到了厂家官网,却发现根本没有这项参数。
你心里开始犯嘀咕:“泊松比不是材料的基础参数吗?为什么厂家不公布?难道这0.3到0.4之间的小数,真的是什么商业机密吗?”
今天我们就来拆解:这个经常在物性表里“玩失踪”的泊松比到底是什么?为什么仿真软件少了它不行?
1 核心原理:材料的“胖瘦规律”
我们要理解泊松比,首先要理解物性表里的“拉伸”和现实中的“受力”有什么区别。
1. 泊松比的物理本质:
当你拉长一根皮筋时,它不仅变长了,还会变细。泊松比(通常用希腊字母 ν 表示)描述的就是这种“拉伸方向的变形”与“垂直方向的缩减”之间的比例关系。
-
如果泊松比是 0,说明你拉它,它的横向纹丝不动(极罕见);
-
如果泊松比是 0.5,说明材料在变形过程中总体积保持不变(比如理想的橡胶)。
2. 为什么 CAE 仿真必须填?
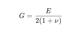
仿真软件不是只算“一根线”的受力,它要计算三维实体的应力场。在弹性力学中,杨氏模量(E)、剪切模量(G)和泊松比(ν )三者是密不可分的“铁三角”,公式如下:

如果你不填泊松比,软件就无法推算出材料的剪切模量(G),也就没法计算产品在受到弯曲、扭转或复杂挤压时的真实反应。没有泊松比,仿真软件就像是一个只有长度感、没有厚度感的瞎子。
2 既然这么重要,为什么物性表不标?
这其实是材料界的一个“潜规则”。
1. 测量成本太高:
测模量只需要一个拉伸引伸计(测纵向位移),但测泊松比需要再加一个横向引伸计,或者用高精度的双轴影像分析。对于很多通用塑料来说,厂家觉得为了一个波动不大的数值,增加一倍的测试成本,不划算。
2. 大家的“默契”:
对于大多数未增强的塑料(如 PP、ABS、PC),泊松比通常在 0.35 到 0.40 之间。很多初级工程师习惯性地填个 0.35,仿真出来的结果往往大差不差。久而久之,厂家也就“乐得清闲”,把空间留给更有营销卖点的强度和模量数据。
3 盲填 0.35 的坑有多深?
如果你做的是精密件或者改性料,泊松比的缺失可能会让你的仿真结果变成“科幻片”。
实际案例:加纤材料的“各向异性”陷阱
某车企工程师在给一个加纤 PA66 的支架做仿真。他查不到泊松比,于是按照经验填了 0.35。
实际上,加纤材料内部的玻纤排列是有取向的。顺着纤维方向和垂直于纤维方向的泊松比完全不同。加上玻纤本身是刚性体,会显著拉低复合材料的整体泊松比(可能降到 0.28)。
由于泊松比填错,仿真模拟出来的卡扣位移比实际偏小了 15%,导致首样装配时直接爆裂。这消失的 0.1 偏差,在精密仿真中就是“生死线”。
🚀 选材神器推荐:塑库网
-
下载官方原版物性表:塑库网收录了全球近十万种牌号的厂家官方原始物性表。很多大型厂家在官方完整报告中,会提供更详尽的泊松比等数据,甚至是随温度变化的曲线,这些都是仿真必填的“干货”。
-
海量牌号一键搜索: 找不到具体牌号的泊松比?塑库网通过内部AI大数据,推测同系列、同配方的数据参考区间,让你选材参考不再盲目!