材料的力学性能是指材料在外力(如载荷、温度变化等)作用下表现出的变形和破坏特性。这些性能是材料设计和工程应用中的核心参数,直接影响材料的使用寿命、安全性和可靠性。
材料的性能特质大概包含强度、刚度、硬度、挠度、延伸率、弹性、韧性、刚性和塑性等,本文通过介绍每一项的定义、特点、应用场景及核心区别。
01 强度/Strength
-
定义:强度是指构件抵抗破坏的能力,或材料抵抗永久变形或断裂的能力。

低碳钢的应力-应变曲线
-
性能参数:
屈服强度(Yield Strength):对于无明显屈服的金属材料,规定以产生0.2%残余变形的应力值为其屈服极限。通常就把下屈服极限称为屈服强度。
上图δc为材料的屈服强度。
抗拉强度(Tensile Strength):表示材料对最大均匀塑性变形的抗力,材料在拉伸破坏之前能承受的最大应力。
上图δe为材料的抗拉强度。
材料强度是材料科学和工程中的核心概念,指材料在受力时抵抗破坏(如断裂、变形等)的能力。其应用几乎渗透到所有工业和科技领域。主要包含: 建筑工程、机械制造、航空航天、汽车工业、电子工业、医疗器械等领域。
02 刚度/Stiffness
-
定义:刚度是材料或结构在外力作用下抵抗弹性变形的能力。
-
性能参数:刚度越高,材料在相同外力下的变形越小。刚度与材料的弹性模量密切相关,弹性模量(如杨氏模量E)是材料本身的属性,反映其内在抗变形能力。
弹性模量:弹性模量定义为应力与应变的比值。


弹性模量是材料科学和工程设计中不可或缺的参数,直接决定了材料在受力时的变形特性。理解不同模量的含义及应用场景,有助于合理选材并优化结构设计。
-
类型:刚度根据变形模式可分为拉伸刚度、弯曲刚度、剪切刚度、扭转刚度。
刚度是确保工程结构功能与安全的关键属性。不足的刚度会导致过大变形,影响精度或引发失效。设计时需综合材料选择与几何优化,平衡刚度与其他性能(如强度、重量)。理解刚度与强度的区别,有助于合理选材,提升设计可靠性。
03 硬度/Hardness
-
定义:材料表面抵抗局部压入或划痕的能力。
-
类型:布氏硬度(HB)、洛氏硬度(HRC)、维氏硬度(HV)。
-
特点:硬度高通常耐磨性好(如钻石硬度极高),但与强度无直接对应关系。
-
物理意义:硬度反映材料表面对外力作用的抵抗能力,尤其在接触应力下的表现。高硬度材料通常耐磨性强,但可能伴随脆性增加。硬度测试在材料选择、质量控制及工艺优化中至关重要。
硬度是材料综合性能的体现,需结合具体应用场景选择合适的测试方法。理解硬度与材料成分、工艺及性能的关系,有助于优化材料设计与工程应用。例如,选择齿轮材料时需平衡高硬度与抗疲劳性,而橡胶密封件则需通过邵氏硬度确保弹性。
-
定义:挠度(Deflection)指结构构件(如梁、板、柱等)在外力(荷载)作用下发生的弹性位移。例如,桥梁在车辆经过时会向下弯曲,这种弯曲的垂直位移即为挠度。
-
计算公式:
挠度计算取决于荷载类型、边界条件(支承方式)及材料特性。
简支梁受集中荷载:

-
影响因素:
荷载大小:荷载越大,挠度越大。
材料性质:弹性模量 E 高的材料(如钢)挠度更小。
截面特性:截面惯性矩 I 越大(如增加梁的高度),挠度越小。
支承条件:两端固定的梁比简支梁挠度小。
跨度:跨度 L 增加会显著增大挠度(与 L3 或 L4 成正比)。
-
物理意义:挠度反映了结构的刚度:刚度越大,抵抗变形的能力越强,挠度越小。
过大的挠度可能导致:结构功能失效(如机床主轴变形影响精度);非结构构件损坏(如墙体开裂);使用者不适(如楼板晃动明显)。
-
定义:延伸率指材料在拉伸断裂后,标距部分的伸长量与原标距长度的百分比,计算公式为:

其中,L0为原始标距长度,Lf为断裂后标距长度。
-
特点:
标距依赖性:延伸率受试样标距长度影响。例如,短标距试样的延伸率通常高于长标距试样(如5倍直径与10倍直径试样)。
变形类型:包含均匀变形和局部颈缩变形,颈缩现象在塑性材料中显著。
-
应用:反映材料整体延展性,适用于评估材料在均匀变形阶段的塑性能力。
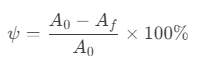
06 断面收缩率/Reduction of Area
-
定义:断面收缩率指材料断裂后,横截面积减少量与原面积的百分比,计算公式为:

其中,A0为原始横截面积,Af为断裂后最小横截面积。
-
特点:
标距无关性:仅关注断裂处局部变形,不受试样标距长度影响。
测量难点:需精确测量断裂后不规则截面积,可能对脆性材料(如铸铁)不敏感。
-
应用:反映材料局部塑性变形能力,尤其在颈缩阶段的性能。
07 泊松比/Poisson's ratio
-
定义:泊松比是指材料在单向受拉或受压时,横向正应变与轴向正应变的比值;也叫横向变形系数,它是反映材料横向变形的弹性常数 。
-
公式:杆件受拉伸或压缩载荷,应力不超过比例极限时,横向应变 ε′ 与轴向应变 ε 之比的绝对值是一个常数,可表示为:


由于横向应变与纵向应变符号相反(如拉伸时纵向伸长、横向收缩),公式中引入负号使泊松比为正值。
-
物理意义
泊松比反映了材料在受力时的多维变形特性:
ν ≈ 0.5:材料近似不可压缩(如橡胶),体积几乎不变(横向收缩显著)。
ν ≈ 0:材料在拉伸/压缩时横向几乎不变形(如软木塞)。
ν < 0(拉胀材料):拉伸时横向膨胀,具有特殊结构(如蜂窝材料),应用于减震、吸能等领域。
08 弹性/Elasticity
-
定义:材料在卸载后恢复原始形状的能力。ab段为弹性段。

-
核心指标:弹性极限(材料能完全恢复的最大应力)。
-
特点:弹性变形可逆(如橡皮筋拉伸后回弹)。
09 韧性/Toughness
-
定义:材料在断裂前吸收能量的能力(需兼具强度与塑性)。
-
核心指标:冲击韧性(单位体积吸收的能量)、断裂韧性(抗裂纹扩展能力)。
-
特点:韧性好的材料抗冲击(如防弹玻璃),脆性材料(如陶瓷)反之。
-
应用:安全头盔、防撞结构需高韧性。
10 刚性/Rigidity
-
定义:结构整体抵抗变形的能力,结合材料刚度和几何形状(如截面尺寸)。
-
特点:与刚度不同,刚性强调结构的综合抗变形能力(如铝梁加粗截面可提升刚性)。
-
应用:建筑框架需高刚性以维持整体稳定性。
11塑性/Plasticity
-
定义:材料在超过弹性极限后发生永久变形而不断裂的能力。
-
核心指标:延伸率(拉伸后长度变化百分比)、断面收缩率。
-
特点:塑性变形不可逆(如金属冲压成型)。
-
应用:金属加工(锻造、冲压)依赖塑性