阻燃剂是添加到塑料中以减缓火势蔓延的化合物。它们广泛应用于电子电气部件、电线电缆、建筑、家电等领域。
为防止燃烧,聚合物应具有热稳定性,在热应力下分解为可燃气体的概率应较低。然而,热稳定性高的聚合物存在性能局限,要么成本过高,要么难以加工。

火势蔓延时间与阻燃剂的使用
可通过添加各种阻燃剂来赋予塑料阻燃性。目前市场上有多种商用阻燃剂可供选择。为特定应用选择最佳技术方案可能颇具挑战。
本指南将带您了解如何为您的目标应用选择合适的阻燃剂,并介绍做出正确选择时需牢记的标准。
阻燃剂在塑料中的作用
聚合物因其有机特性,常常成为火灾的燃料,受热时会分解为可燃产物。尽管聚合物具有诸多优点,但在许多领域(如电气电子、交通运输、建筑等),其易燃性限制了其应用。

阻燃剂的类型(上)
与聚合物配合使用的阻燃剂有几大化学类别,例如:
-
卤系阻燃剂(包括溴系和氯系化合物)
-
磷系阻燃剂(包括有机磷和红磷)
-
金属氢氧化物阻燃剂(包括氢氧化铝和氢氧化镁)
-
三聚氰胺基阻燃剂
-
硅系阻燃剂
除了这些化学类别,还有其他可掺入聚合物的阻燃剂。它们可分为添加型和反应型阻燃剂。这两类可能对不同聚合物的相似性能(如粘度、柔韧性、密度等)产生影响。下表列出了添加型和反应型阻燃剂的一些特点。

溴系阻燃剂
溴系阻燃剂(BFRs)是当今最常用的一类阻燃剂。这类阻燃剂用途非常广泛,在阻燃性能、机械性能、加工性和使用成本之间提供了最佳平衡。
工业用溴化阻燃剂是通过溴化双酚A制得的。该反应在溶剂存在下进行,例如:
-
甲醇或卤代烃
-
50%氢溴酸
-
水性烷基单醚
溴系阻燃剂与矿物质结合有助于改善机械性能,降低燃烧产生的烟雾的不透明度和腐蚀性,有助于减少焚烧烟雾带来的环境危害。它们能提供满足法规要求的有效解决方案,并为产品提供出色的性能。
氯系阻燃剂
氯化化合物是含有高浓度氯的分子,主要在气相起化学作用。它们通常与作为增效剂的三氧化二锑结合使用。
氯化化合物主要可分为两大类:
-
氯化石蜡
-
氯化烷基磷酸酯
选择氯化化合物时需考虑几个参数,包括氯含量、热稳定性、挥发性和物理形态。
氯化石蜡:
氯化树脂的一般结构为:

根据石蜡链长度的不同,氯化树脂有多种产品可供选择。液体牌号由短链石蜡生产,而含氯量70-72%的固体牌号则由高分子量蜡生产。
氯化石蜡的关键应用是与DOP或DINP结合作为软质PVC的增塑剂,用于地板、电缆等以改善阻燃性能。
高氯含量的固体牌号用于热塑性塑料,例如与三氧化二锑结合用于LDPE的CTI电缆护套。
氯化烷基磷酸酯:
最常见的分子是:


TCEP 三(2-氯乙基)磷酸酯 (L);TCPP 三(2-氯-1-甲基乙基)磷酸酯 (C);TDPP 三(2-氯-1-(氯甲基)乙基)磷酸酯 (R)
这些产品主要用于硬质和软质聚氨酯泡沫,添加浓度通常在5%至15%之间,具体取决于泡沫密度和测试严苛度。使用氯化磷产品可达到的阻燃标准示例:软质泡沫BS4735;硬质泡沫BS 476, NFP92-501, DIN 4102。
氯化脂环族化合物

十二氯二甲烷二苯并环辛烷是一种市售分子,其主要优点包括:
-
耐高温(高达320°C)
-
良好的耐紫外老化性
-
非增塑产品
-
不溶性填料且不喷霜
-
在阻燃尼龙中CTI值大于400°C
-
低生烟量
-
低密度和成本效益高
该产品可用于多种聚合物,包括聚酰胺、聚烯烃和聚丙烯,可与多种增效剂(如三氧化二锑和硼酸锌)结合使用。
有机磷系阻燃剂
有机磷化合物是热塑性塑料和聚氨酯泡沫的主要阻燃剂类别之一,主要包括磷酸酯和膦酸酯,也可能包括磷-卤化合物以及磷与卤系阻燃剂(溴系阻燃剂)的混合物。PC/ABS和PPO/HIPS等热塑性合金通常需要满足UL94 V0等严格的阻燃标准。磷酸酯基阻燃剂在这些树脂中效果良好,并具有良好的物理性能和UV稳定性。
在许多应用中,硬质和软质PU泡沫需要表现出一定程度的阻燃性,以通过特定国家的 flammability 测试。磷系阻燃剂(包括氯化(氯代磷酸酯)和非卤化)在这些应用中广泛使用,被认为是具有良好加工性、阻燃性和物理性能平衡的理想选择。在某些情况下,特别是需要低焦烧的场合,会使用磷溴混合物。
聚氨酯泡沫生产商可根据最终应用、关键要求和必须满足的阻燃标准,在反应型添加剂、卤化和非卤化磷系阻燃剂之间进行选择。这些选项为满足性能、相容性、效率、物理性能、加工性和成本的市场需求提供了灵活的选择。
市场上有多种基于磷酸酯分子的产品用于阻燃。一些常见的基于磷酸酯分子的产品包括:




磷酸三苯基酯 (TPP)、磷酸三甲苯酯 (TCP)、磷酸二甲苯酯 (CDP)、磷酸三(异丙基苯基)酯 (TIPP) [从左到右]
磷酸三苯酯——可用于ABS/PC共混物、PPO等其他工程塑料,以及酚醛树脂。
磷酸三甲苯酯——主要用作PVC中的阻燃增塑剂和苯乙烯类组合物。市售产品是邻位、间位和对位异构体的混合物,但邻位异构体毒性很强,应尽可能排除。
双芳基磷酸酯
商业化的双芳基磷酸酯包括间苯二酚双(二苯基磷酸酯)和双酚A双(二苯基磷酸酯)。

间苯二酚双二苯基磷酸酯(RDP)

双酚A双二苯基磷酸酯(BDP)
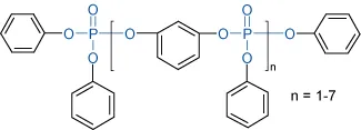
RDP——通常为无色液体,用于ABS/PC、PBT和PPO。与芳基磷酸酯或烷基磷酸酯相比,这些产品表现出更低的挥发性、更高的耐热性和更低的增塑效应。通常需要10-15 phr才能通过传统阻燃测试。在较低添加量下,RDP可以改善ABS和苯乙烯类塑料薄壁注塑的加工性。
BDP——与RDP相似,用于相同应用,添加量约为20phr。与RDP相比,BDP为聚合物提供更好的熔体稳定性和更低的挥发性。该产品还具有良好的水解稳定性,对聚碳酸酯等聚合物有益。
烷基膦酸酯
膦酸酯的一般结构为:

甲基膦酸二甲酯因其高磷含量而成为一种非常有效的阻燃剂。然而,高挥发性限制了其在硬质PU和高填充聚酯中的使用。
二聚或低聚环状磷酸酯
它们通常是高粘度液体,因此难以处理。一些生产商提供母粒解决方案。二聚环状膦酸酯可以在PET中添加约6 wt%用于阻燃PET纤维,也可用于硬质聚氨酯,且无挥发性缺点。
红磷阻燃剂
"红磷"一词用于描述磷的同素异形体之一,由白磷在接近300°C、无氧条件下加热得到。颜色从橙色到深紫色不等,取决于分子量、粒度和杂质。
红磷是一种无定形无机聚合物。然而,X射线已确定存在几种晶型(通常含量有限,<10% w)。众所周知,红磷可作为单一添加剂在含氮和/或含氧聚合物,例如:

红磷阻燃剂在聚烯烃、苯乙烯类塑料、橡胶等中,必须与发泡剂、成炭剂和/或无机氢氧化物一起应用。
红磷阻燃剂通常用于满足高阻燃性要求。它们不会产生有毒烟雾,并具有良好的电性能(即高CTI值)和机械性能。出于颜色考虑,它不适用于白色或极浅色的成品,但适用于黑色至中灰色的成品。
红磷基阻燃剂具有高热稳定性,允许产品克服高达320°C的严苛挤出温度,而不会分解、释放危险物质、产生碳质残留物或对挤出设备造成腐蚀。
以上,我们梳理了阻燃剂的基础知识,并详细介绍了目前市场上应用最广泛的卤系(溴、氯)和磷系(有机磷、红磷)阻燃剂。它们各有千秋,选择时需综合考虑聚合物的类型、加工条件、最终产品的性能与法规要求。
在下篇中,我们将继续深入探讨另外几类重要的阻燃剂:
-
金属氢氧化物阻燃剂(氢氧化铝/镁):无卤环保路线的代表,如何在高填充下平衡性能?
-
氮系阻燃剂(三聚氰胺):如何通过多重机制实现高效阻燃?
-
硅系及纳米阻燃剂:这些新兴技术如何以低添加量带来性能突破?
敬请期待~